泵的装置扬程定义和计算
发布时间:2013-5-3 14:55:30 来源:海坦泵业 点击次数:7089
无限多叶片的离心泵对单位重量的理想流体所提供的的能量称为理论压头或理论扬程。装置扬程即装置出口处单位重量流体的能量与装置进口处单位重量流体所具有能量只差,单位为m 。
对于如图10-1所示的流柱,根据能量守恒定律,计算戴面的能量:

图10-1 流体流动中各参数示意图
(10-1)
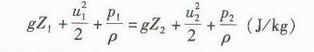
(10-2)
上式为流动系统的热力学定律,式中ひ=V2/M=1/P
如果流体不可压缩(V=V),没有热量输入(Qe=o),等温(U=U2)流动,
考虑阻力做功∑h∮
则有:
(10-3)
如果没有外功加入,理想流动(阻力忽略),则有
(10-4)
式10-4即为伯努利方程式(Bernoulli Equation)。
上式表明,理想流体流动时,各种形式的能量可以相互转化,但总能量不变。
如果等式左右同时除以g,考虑输入的压头和阻力压头,则有
(10-5)
式中 H—如果是泵的供应的能量,也叫扬程(m):
H—阻力(m)。
根据伯怒利方程式计算装置的扬程。
(10-6)
将式(1-11)乘以pg,得
(10-7)
式(10-3)、式(10-5)、式(10-7)都称为扩展的伯努利方程。
泵的扬程表征本身的性能,只和泵、出口法兰处液体的能量有关,而和泵装置无直接关系。但利用能量方程,可以用泵装置中液体的能量表示泵的扬程。
